l 매출 현황
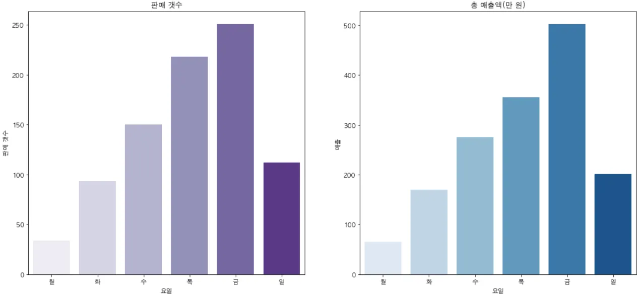
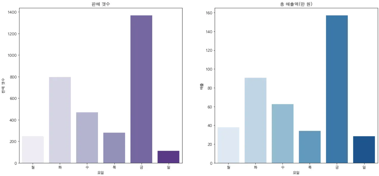
요일 추이
수요일과 목요일에 상품이 많이 판매됐고, 일요일 판매량이 저조합니다.
금요일은 판매 갯수 대비 매출이 높은 날입니다.
판매 갯수 | 총 매출액(만 원) | |
월요일 | 3296 | 7822.8 |
화요일 | 4279 | 9781.9 |
수요일 | 6406 | 16298.4 |
목요일 | 4682 | 14097.4 |
금요일 | 4957 | 14454.4 |
토요일 | 0 | 0 |
일요일 | 4721 | 7977.1 |
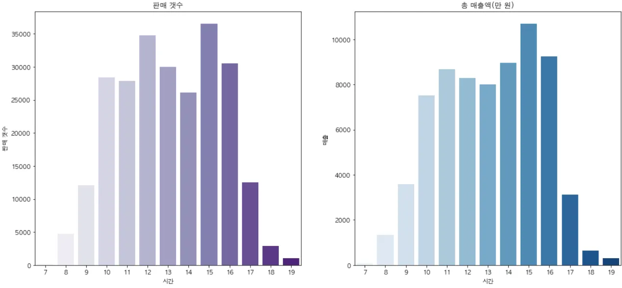
시간 추이
12시와 15시에 많은 판매가 일어나며, 17시부터 판매량이 급격히 줄어듭니다.
15시에 가장 많은 매출이 발생하고, 17시부터 매출이 급격히 줄어듭니다.
시간 | 판매 갯수 | 총 매출액(만 원) |
7시 | 10 | 66.8 |
8시 | 355 | 1348.2 |
9시 | 700 | 3579.9 |
10시 | 2100 | 7517.9 |
11시 | 3952 | 8666.4 |
12시 | 3816 | 8276.4 |
13시 | 3443 | 8009.9 |
14시 | 3958 | 9865.9 |
15시 | 4431 | 10700.2 |
16시 | 3728 | 9237.2 |
17시 | 1399 | 3110.7 |
18시 | 281 | 651.9 |
19시 | 348 | 300.6 |
히트맵
수, 목, 금요일 15시부터 16시 사이에 많은 상품이 판매됩니다.
목, 금, 일요일 11시부터 13시 사이에도 상품이 꾸준히 판매됩니다.
l 인기 상품(매출 기준)
인기 상품
매출 기준으로 볼 때, “REGENCY CAKESTAND 3 TIER”, “RABBIT NIGHT LIGHT”, “PAPER CHAIN KIT 50'S CHRISTMAS” 상품이 가장 인기 있습니다.
순위 | 상품명 | 판매 갯수 | 총 매출액(만 원) |
1위 | REGENCY CAKESTAND 3 TIER | 4660 | 1571.2 |
2위 | RABBIT NIGHT LIGHT | 4460 | 1326.8 |
3위 | PAPER CHAIN KIT 50'S CHRISTMAS | 2247 | 1007.7 |
1위 상품
1위 인기 상품은 금요일에 가장 많이 판매됐으며, 평일 후반으로 갈수록 판매량이 증가합니다. 특히, 13시 ~ 15시 구간대에 판매가 주로 일어납니다.
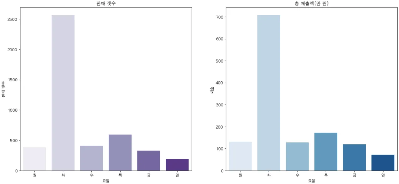
2위 상품
2위 인기 상품은 화요일에 눈에 띄게 많은 판매가 일어났습니다.
해당 현상을 더 깊게 분석하시길 추천드립니다.
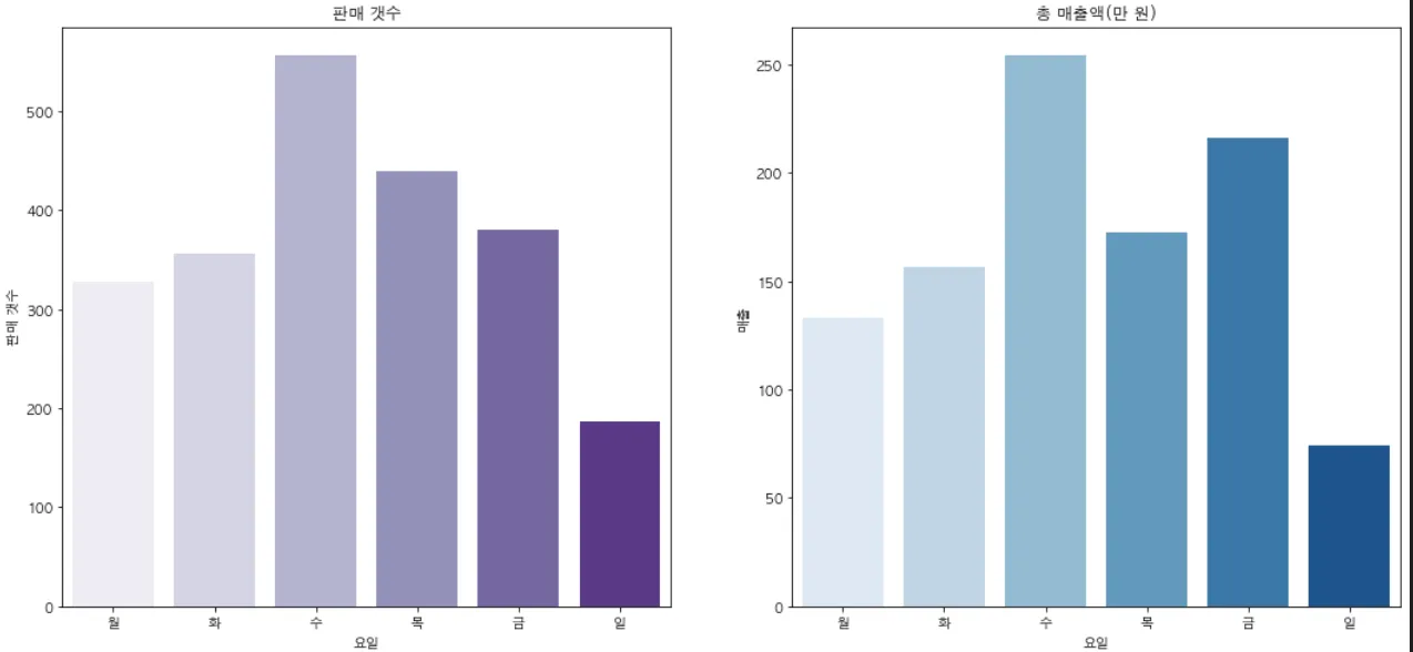
3위 상품
3위 인기 상품은 수요일에 가장 많은 판매가 일어났고, 이후 점차 판매량이 감소합니다.
금요일 상품 가격 변동으로, 판매량은 줄었지만 전체 매출은 증가했습니다.
상품이 주로 판매되는 시간은 13시 ~ 16시입니다.
l 인기 상품(판매량 기준)
인기 상품
판매량 기준으로 볼 때, “RABBIT NIGHT LIGHT”, “WORLD WAR 2 GLIDERS ASSTD DESIGNS, “POPCORN HOLDER” 상품이 가장 인기 있습니다.
특히, RABBIT NIGHT LIGHT 상품은 매출 기준으로도 인기 상품에 속합니다.
순위 | 상품명 | 판매 갯수 | 총 매출액(만 원) |
1위 | RABBIT NIGHT LIGHT | 4460 | 1326.8 |
2위 | WORLD WAR 2 GLIDERS ASSTD DESIGNS | 4098 | 122.1 |
3위 | POPCORN HOLDER | 3275 | 410.7 |
1위 상품
2위 인기 상품은 화요일에 눈에 띄게 많은 판매가 일어났습니다.
해당 현상을 더 깊게 분석하시길 추천드립니다.
2위 상품
2위 인기 상품은 목요일에 눈에 띄게 많은 판매가 일어났습니다.
해당 현상을 더 깊게 분석하시길 추천드립니다.
3위 상품
3위 인기 상품은 화요일부터 판매량이 점점 감소하다, 금요일에 눈에 띄게 많은 판매가 일어났습니다.
화요일은 16시에, 목요일은 11시에 주로 판매가 일어났습니다.
l 비주류 상품
3위 상품
최하위 상품은 꾸준히 판매되지 않고 있습니다.
비주류 상품을 상품군에서 제외하는 걸 추천드립니다.
순위 | 상품명 | 판매 갯수 | 총 매출액(만 원) |
1위 | ICON PLACEMAT POP ART ELVIS | 2 | 0.03 |
2위 | ASSORTED COLOUR SUCTION CUP HOOK | 2 | 0.05 |
3위 | 75 GREEN PETIT FOUR CASES | 1 | 0.06 |
































